固定污染源基本參數的測定
煙氣的體積、溫度和壓力是煙氣的基本狀態常數,也是計算煙氣流速、煙塵及有害物質濃度的依據。其中,煙氣體積由采樣流量和采樣時間的乘積求得,而采樣流量由采樣點煙道斷面積乘以煙氣流速得到,流速又由煙氣壓力和溫度計算求出。
(1)溫度
測量儀器主要是玻璃水銀溫度計和熱電溫度計。
①玻璃水銀溫度計適用于直徑小、溫度不高的煙道。測量時,溫度計放入煙道中心部位,待讀數穩定不變時,開始讀數。切不可將溫度計抽出煙道外讀數,以免產生誤差。
②熱電溫度計適用于直徑大、溫度高的煙道。熱電溫度計如圖6-30所示,測溫原理是將兩根不同的金屬線連成閉合回路,當兩接點(冷端接點和熱端焊接點)處于不同溫度環境時,便產生熱電勢。兩接點溫差越大,熱電勢越大。熱電偶冷端接點溫度保持恒定,稱為自由端,熱端焊接點稱為測量端或工作端,其電勢差由毫伏計測出以溫度值表示。
使用熱電溫度計時,首先將兩個接頭分別接到測溫毫伏計的“+”、“-”兩個接線柱上,打開短路鎖,將熱電偶頭部擦拭干凈,插到煙道中心部位,待指針讀數穩定時再讀數。如果使用帶有冷端自動補償的數顯溫度計,其讀數即為實際煙氣溫度。如沒有自動溫度補償裝置,測前將毫伏計指針調至零刻度,測得的煙氣溫度再加上環境溫度,才是煙氣的實際溫度。
根據需測溫度的高低,選用不同材料的熱電偶。測量800℃以下的煙氣用鎳鉻-康銅熱電偶;測量1300℃以下煙氣用鎳鉻-鎳鋁熱電偶;測量1600℃以下的煙氣用鉑-鉑銠熱電偶。
(2)壓力
煙氣的壓力分靜壓(Ps)、動壓(Pv)和全壓(Pt)。靜壓是單位體積氣體所具有的勢能,動壓是單位體積氣體具有的動能,全壓是氣體在管道中流動具有的總能量,即靜壓和動壓之和。煙氣壓力測量裝置包括皮托管和壓力計。
①皮托管:常用皮托管分標準皮托管和S形皮托管兩種。
標準皮托管:它是一根彎成90°的雙層金屬同心圓管,其開口端與內管相通,用來測量全壓;外管的管口封閉,外管的測壓小孔開在外管壁面四周(靠近管頭處),用來測量靜壓。標準皮托管具有較高的精度,其校正系數近似等于1,不需校正。但標準皮托管的測孔很小,如果煙氣中煙塵濃度大,易被堵塞,因此只適用于在較清潔的煙道內使用,或用來校準其他類型的皮托管和流量測量裝置。
S形皮托管如圖6-32所示:它由兩根相同的金屬臂并聯組成,測量端為兩個大小相等、方向相反的開口。測量煙氣壓力時,一個開口面向氣流,測定氣流的全壓;另一個開口背向氣流,測定氣流的靜壓。由于氣體繞流的影響,測得的靜壓比氣流實際靜壓值小,因此,在使用前必須用標準皮托管進行校正。S形皮托管開口較大,減少了被塵粒堵塞的可能性,適用于測煙塵含量較高的煙氣。
②壓力計:常用的壓力計有U形壓力計和斜臂式微壓計。
U形壓力計是一個內裝工作液體的U形玻璃管.通常根據被測壓力的大小分別選用水、乙醇或汞作為工作液體,壓力計與皮托管相連,測得壓力(P)用下式計算:
P=ρ•g•h
式中: ρ——工作液體的密度,kg/m3;
g——重力加速度,m/s2;
h——兩液面高度差,m。
上式壓力的單位為Pa,但在實際工作中,常用毫米液柱表示壓力。
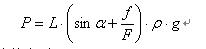
斜臂式微壓計。斜管將讀數放大,便于微小壓差的測量。測壓時,將微壓計容器開口與測壓系統中壓力較高的一端相連,斜管與壓力較低的一端相連,作用在兩個液面上的壓力差使液柱沿斜管上升,測得壓力(P)按下式計算:
![]() |
式中: L——斜管內液柱長度,m;
α——斜臂與水平面夾角,度;
f——斜管截面積,mm2;
F——容器截面積,mm2;
ρ——工作液密度,kg/m3。
③測定方法:先按規定調試儀器,然后將皮托管與壓力計連接,把測壓管的測壓口放置在煙道內測點上,并對準氣流方向,從U形壓力計上讀出液面差,或從斜管微壓計上讀出斜管液柱長度,按相應公式計算測得壓力。(3)流速和流量的計算
①各測點煙氣流速的計算
測出煙氣的溫度、壓力等參數后,根據流體力學基本原理的推導,得出各測點的煙氣流速計算式如下。
在煙塵測試中,如果壓力單位用mmH2O柱表示時,各測點的煙氣流速可用下式計算:
![]() |
式中: Vs——煙氣流速,m/s;
Hd——煙氣動壓,mmH2O;
γ——煙氣重度,kg/m3;
g——重力加速度,9.81m/s2;
R——煙氣氣體常數,295.9J/(kg•K);
Ts——煙氣絕對溫度,K;
P——煙氣絕對壓力,Pa。
如果壓力單位用Pa表示時,各測點的煙氣流速可用下式計算:
式中: Kp——皮托管校正系數;
Pd——煙氣動壓,Pa;
ts——煙氣測點溫度,℃。
如果壓力單位以mmHg柱表示時,各測點的煙氣流速可用下式計算:
式中:Hd——煙氣動壓,mmHg。
②煙道斷面煙氣平均流速的計算:
煙道斷面上各采樣點煙氣平均流速計算式如下:
式中: ——煙氣平均流速,m/s;
v1、v2、…、vn——斷面上各測點煙氣流速,m/s;
n——測點數。
③煙氣流量的計算:
測量狀態下煙氣流量按下式計算:
Qs=3600 *S
式中: Qs——煙氣流量,m3/h;
S——測點煙道橫截面積,m2。

使用微信“掃一掃”功能添加“谷騰環保網”