IGCC整體系統的性能模擬結果及分析
更新時間:2009-08-06 15:56
來源:
作者:
閱讀:3176
Aspen Plus 模擬結果
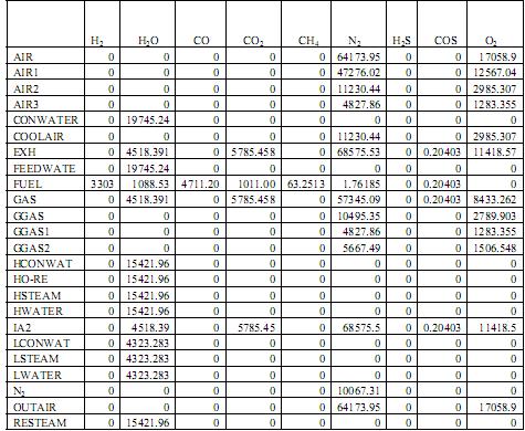
按上述條件模擬后Aspen Plus得到的結果如下表,其中圖1是各物流的熱力參數結果;圖2是各物流的成分組成;圖3是功的模擬結果:
圖1 各物流熱力參數結果
圖2 各物流的組分構成
圖3 功的模擬結果
模擬結果的分析
分析以上模擬所得到的結果,整個聯合循環的一些重要參數就得到了,可以看出燃機透平的進出口溫度符合運行規定,余熱鍋爐的排煙溫度為138.56℃也符合煙氣排放規定。根據電廠的廠用電率為11.87%,計算得到系統的輸出凈功。詳細的結果見圖4
圖4 聯合循環的重要運行參數
聲明:轉載此文是出于傳遞更多信息之目的。若有來源標注錯誤或侵犯了您的合法權益,請作者持權屬證明與本網聯系,我們將及時更正、刪除,謝謝。

使用微信“掃一掃”功能添加“谷騰環保網”