城市生活垃圾好氧堆肥通風系統設計
我國對城市生活垃圾的處理方式有填埋、焚燒、堆肥,其中尤以填埋為主。填埋作為廢物的最終處置方式是可取的,但由于我國80%以上的城市生活垃圾都是填埋處理,無疑造成這一資源的浪費。城市生活垃圾中不僅蘊涵著大量的能源物資(碳素),也有著豐富的作物所需營養物質(氮、磷、鉀和微量元素)。而堆肥處理可以很好地實現城市生活垃圾的資源化、減量化、無害化,人們也越來越關注城市生活垃圾的堆肥化設計研究。
在城市生活垃圾堆肥化設計過程中,通風系統的設計是關鍵,良好的通風不僅能夠為垃圾堆體中有機物好氧降解提供足夠的氧量,而且也為微生物充分發揮活性提供適宜的溫度。合理的通風方式、通風量和通風控制方法使生活垃圾整個堆肥化過程能夠高效低耗地進行。
1、通風方式的選擇
城市生活垃圾好氧堆肥的通風方式主要有自然通風、定期翻堆、強制通風。
自然通風亦即表面擴散供氧,是利用垃圾堆體表面與堆體內部氧的濃度差產生擴散,使氧氣與物料接觸從而為垃圾發酵提供氧氣。經理論計算,通過表面擴散供氧,在一次發酵階段只能保證離表層22cm內有氧氣。顯然此種通風方式對垃圾堆體內部供氧明顯不足,堆體內部容易出現厭氧狀態,堆肥過程升溫與降溫非常緩慢,從而會延長堆肥周期。雖然節省能源,但并不適合實際生產。
定期翻堆則是在自然通風基礎上,在堆肥過程中對堆體進行翻堆,利用固體物料的翻動使空氣進人固體顆粒的間隙中以達到供氧的目的。翻堆具有使堆料混合均勻、促進水分蒸發、干燥堆肥的優點。但在堆肥升溫階段堆體需氧量加大,勢必要增加翻堆頻率,而垃圾堆體內的氧在約30min后就被耗盡,因此必須以較高的頻率對堆體進行翻堆才能滿足堆體發酵所需的氧,這在實壓生產中很難實現而且也難以操作。
強制通風是通過機械設備(風機)對堆體通風供氧。這種通風方式在堆肥開始階段能充分供給堆體發酵升溫所需的氧,在高溫階段則可更好地控制堆體溫度使好氧菌保持活性,在后期階段則起著去除水分、加快堆體降溫作用。與前兩種通風方式相比,供氧效果好,加快了堆肥的反應速率,從而縮短堆肥周期,一般一次發酵時間2d左右就可完成,在實際工程中此種通風方式應用廣泛。
2、通風系統設計
在強制通風中,通風系統的設計要合理、高效,其中最重要的是通風管道設計與風機的選擇。
2.1通風管道設計
通風系統設計之初,應先根據堆體形狀大小和多少對通風管道進行合理布置。通常遵循的原則是:通風管道對稱布置,通風管道上的通風孔分布也應均勻,從而保證對堆體各部分能均勻供氧使物料充分發酵。
整個通風系統通風量依據《城市生活垃圾堆肥處理廠技術評價指標》中靜態堆肥每立方米垃圾0.05~0.20m3/min的通風量取值,完全滿足堆體發酵過程中供氧及冷卻所需通風量。
按照通風設計標準,通風系統中干管風速應控制為6~14m/s,支管則為2~8m/s。利用如下公式確定各干管與支管管徑:
![]() |
式中,Q通過風管風量,m3/h;ν氣體設計流速,m/s;d風管管徑,mm。
2.2風機選擇
風機的選擇根據整個通風系統所需風量及風壓確定。
其中風機額定風量由下式確定:
Q額=k•Q總,
式中,k通風系數,一般取1.1;Q總系統通風量,m3/h;Q額風機額定風量,m3/h。
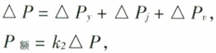
風機風壓要保證氣流能克服通風管道阻力并到達堆體中絕大部位,因此風機風壓可由下式確定:
![]() |
式中,△P壓力損失,Pa;△Py沿程阻力,Pa;△Pj局部阻力,Pa;△Pν堆體壓力降,Pa;k2壓力系數,一般取1.1。
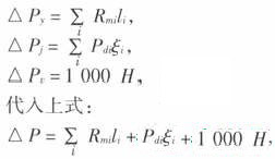
通風系統沿程阻力和局部阻力的計算應選擇通風系統中最不利環路,即選擇氣流路徑最長的管道計算。
![]() |
式中,li最不利環路中不同管徑通風管管長,m;Rmi相應風管單位長度摩擦阻力,Pa/m;ξi最不利環路中彎頭、變徑管等局部阻力系數;Pdi經過彎頭、變徑處的氣體動壓,Pa;H堆體高度,m。
在已知通風管道風速及風量情況下,從《全國通用通風管道計算表》直接或者利用插分法得到Rmi與Pdi的值;ξi值根據風管實際連接情況確定。
3、通風控制方法的確定
在好氧堆肥過程不同階段,通風目的也會不同,因此通風控制要有針對性。
通常把好氧堆肥過程分為升溫階段、高溫階段、降溫階段。當垃圾進人堆肥車間后,就開始進人堆肥的升溫階段,此階段嗜溫性微生物比較活躍進而分解堆體中的有機物,通風主要是為微生物發酵提供氧氣,當堆體溫度逐漸上升至45℃,堆肥進人高溫階段;在高溫階段嗜熱性微生物代替嗜溫性微生物進行分解活動,堆體溫度由 45℃升高到70℃以上,微生物的分解活動在此溫度下就會受到限制,此時通風目的除為微生物活動提供氧外還應起著降溫冷卻作用;當高溫持續一段時間后,隨著微生物活動的減弱,溫度開始下降到40℃左右,堆體需氧量大大減少,此階段則主要應進行散熱通風。
根據以上分析,在堆肥升溫階段及高溫階段應進行鼓風,通風量略大于降溫階段通風量,既達到為垃圾堆體發酵過程供氧的目的,又防止因風量過大而導致垃圾堆體難以升溫;而降溫階段應進行抽風,這將有利于堆體盡快降溫、排除堆體多余水分。
通風具體控制方法可分為溫度反饋控制法、耗氧速率控制法及綜合控制法。
溫度反饋控制法是通過溫度傳感器反饋堆體內部溫度來控制風機通斷、鼓風或抽風的方法,使堆體溫度在高溫階段維持在60℃以下,55℃以上5~l0d,達到無害化;在降溫階段堆體能迅速降溫,完成堆肥化。
耗氧速率控制法是通過氧氣傳感器測定堆體內部耗氧速率來控制通風量的大小及通風時間,使堆體內部耗氧速率保持在好氧微生物活動所需氧濃度10%以上。綜合控制法則是指將溫度傳感器和氧氣傳感器所測得的數據連續輸人計算機,經過程序加工處理后,來反饋控制風機的通斷,它可將溫度反饋控制法和耗氧速率控制法有機結合起來,保持最佳的堆溫和氧含量,使水分含量逐漸降低,從而獲得滿意的衛生學效果和合格的堆肥產品,并實現堆肥通風系統的自動化控制。
在垃圾堆肥過程中主要是微生物的好氧分解,雖然耗氧速率控制法能夠對堆肥過程進行最為直接有效地控制,但并不能很好地控制堆體溫度。相反溫度反饋控制法則可以,并且可有效去除堆體內多余水分。綜合控制法對整個堆肥系統的要求較高。
因此,在實際生產中,更多的選用溫度反饋控制法。
4、應用實例
某市垃圾綜合處理廠堆肥車間設計處理規模為80t/d,采用靜態好氧強制通風方式,設計一次發酵周期20d。堆體大小30m×4m×2.5m,兩天垃圾量作為一個堆體(垃圾容重按0.6t/m3)。
通風管道布置遵循均勻對稱原則,在堆體底部中間縱向鋪設通風干管,長29.5m,干管兩側對稱布置長1.8m支管,相鄰支管縱向間隔3m,支管周身穿孔,孔徑10mm,間距50mm。
依據《城市生活垃圾堆肥處理廠技術評價指標》,每個堆體所需通風量為1800m3/h,每路支管風量為90m3/h。
采用假定流速法確定干管管徑為250mm,支管管徑為100mm。根據上面方法分別計算整個風系統管路阻力△P=2616.5Pa,其中沿程阻力△Py=53.9Pa,局部阻力△Pj=62.6Pa(包括風機出口壓力損失),堆體壓力降△Pv=2500Pa.
在保證通風系統運行時風量和風壓有一定余量情況下,風機依據風量為1980m3/h和風壓為2883Pa選擇4-72No5A離心通風機。
為使整個通風系統運行合理有效,在堆肥過程中有必要采用變化的通風量。堆肥初期風機以較小風量對堆體進行鼓風,使堆體溫度逐漸上引至55℃以上;接著加大通風量,使反應熱與散熱量持平,防止堆溫高于60℃不利于微生物的活動,當堆溫在55~60℃就停止通風,當堆溫超過60℃時就開啟風機,風機的開停由安置在堆體中的溫度反饋器來控制,如此反復,持幸7~10d;后期則改為抽風方式,逐漸減少通風量,使堆溫降低。
5、結束語
在堆肥通風系統設計中,堆肥一次發酵通常應選擇強制通風的通風方式,縮短堆肥周期,為堆肥生產運行提供保障。出于節約能源的目的,二次發酵可選擇自然通風方式,使堆肥最終干化,完成垃圾堆肥化。
堆肥是將城市垃圾轉化為資源的有效方法,隨著社會經濟的發展,資源和環境問題會受到廣泛的重視,對城市垃圾的堆肥處理有著很好的應用前景,堆肥通風系統的合理設計將保證垃圾堆肥的高效低耗。

使用微信“掃一掃”功能添加“谷騰環保網”