一種ISO 6 級工業潔凈室過濾系統的改進方法
摘要:傳統ISO 6 級潔凈室的過濾系統通常是3 級過濾,即初效、中效和高效過濾,系統阻力很大,為了減少潔凈室的能耗,通過用管道式靜電除塵器代替高效過濾器改進了潔凈室過濾系統,比較了改進后的過濾系統和傳統過濾系統對潔凈室內含塵濃度、潔凈室自凈時間、過濾系統阻力的影響,得到了改進后的潔凈室過濾系統在換氣次數在50~80 次/ h 的范圍內既能滿足ISO 6 級潔凈室的潔凈度要求,又能縮短潔凈室自凈時間,還能減小過濾系統阻力的結論,為工業潔凈室的設計提供一定的參考。
關鍵詞:ISO 6, 級潔凈室,管道式靜電除塵器,含塵濃度,自凈時間,換氣次數
工業潔凈室的潔凈度等級是由潔凈室內含塵數量濃度決定的。ISO 6 級潔凈室內允許的≥0. 5μm粒徑的含塵數量濃度上限是35 200 pc/ m3 [1 ] 。室內污染主要來自于室外新風、回風和室內的污染源。要達到規定的含塵濃度,必須由高效率的過濾系統來完成對污染物的控制工作。傳統的過濾系統通常是3 級過濾,即初效、中效和高效過濾,初級過濾器保護潔凈系統正常工作,并使中級過濾器更為有效地過濾 ≥1μm的塵埃,中級過濾器保護末端過濾器,其優劣程度決定高效過濾器的使用壽命,高效過濾器決定室內的凈化級別。只有合理確定各級過濾器除去微粒的粒徑以及除塵效率,才能充分、有效地發揮各自的過濾作用,提高系統的綜合過濾效率,并使前一級過濾器能夠保護后一級過濾器。本試驗系統如圖1 所示,過濾系統所采用的初效和中效過濾器都是無紡布袋式過濾器,高效過濾器采用無隔板形式,濾料為超細聚丙烯,型號為F45 - 64。另外,本試驗通過在過濾系統中用管道式靜電除塵器替代高效過濾器,對傳統過濾系統進行了改進,對改進后的和傳統的過濾系統的性能進行研究,主要從潔凈室內含塵濃度、潔凈室自凈時間、過濾系統的阻力三方面對比研究。
1 管道式靜電除塵器
1. 1 管道式靜電除塵器的原理
靜電除塵器是利用電場使空氣中的粒子荷電,再利用電場將荷電粒子捕獲。根據結構不同分為單區靜電集塵器(電離和集塵在同一區進行) 、雙區靜電集塵器(電離與集塵分區進行) ,甚至三區靜電集塵器(二次電離與集塵) 。根據集塵板的形式不同分為平行平板式和蜂窩式等。本試驗采用蜂窩式靜電除塵器。
![]() |
靜電空氣凈化裝置中有實際意義的產生離子的機理是電暈。電暈是放電電極周圍一個很狹小的區域電場強度較大,能給空氣中受本底輻射(自然界存在的天然輻射) 而形成的自由電子足夠的能量,從分子中撞出電子,同時產生相應的正離子。這樣,電暈區內就會存在大量的自由電子和正離子。凈化用的靜電除塵器采用正電暈放電,自由電子朝著電暈極運動并最終作為電流從極線上流走,正離子則朝相反方向運動,離開狹小的電暈區,附著在同它相遇的顆粒上使顆粒帶正電。負電暈應用于工業用電除塵器,負電暈操作時會產生大量臭氧,影響人體舒適乃至危害人體健康。本試驗的靜電空氣凈化裝置采用正電暈,嚴格控制臭氧發生量。
1. 2 影響靜電除塵器效率的因素
靜電空氣過濾器的效率可表示為[2 ] :
![]() |
式中, F 為集塵極板的總有效面積; ue 為分離速度; Q 為通過集塵極板的總風量。
顯然,影響靜電除塵器凈化效率的因素有分離速度、集塵極板的總有效面積和風量。
分離速度是荷電微粒在電場中向著集塵極加速運動受到的氣流阻力與電場力平衡時的運動速度。根據氣流阻力與電場力的平衡關系式,并考慮滑動修正,得到分離速度ue 的理論表達式[2] :
![]() |
式中, Cu 為滑動修正系數,亦稱庫寧漢(Cunninghum) 修正系數; N 為電荷的數目; e 為單位電荷量, 4. 8 ×10 - 10靜電系單位(300 V/ cm= 1 靜電系單位) ; E2 為集塵極空間的電場強度,靜電系單位;μ為動力黏滯系數, Pa·s; dp 為微粒直徑, cm。
其中,分離速度ue 越大, 集塵效率越高。微粒直徑dp 越小, ue 越大,集塵效率越高。所以,與機械過濾器相比,靜電除塵器更適合捕集微細粒子。提高集塵極電壓就是提高了集塵極空間電場強度( E2) ,使分離速度提高。但集塵空間的電場強度太高容易引起電極放電,即使極板經過電拋光之后仍然難免表面不光潔,特別是邊緣如有毛刺;或表面很光潔,只要沉積上一顆較大的粒子(特別是纖維) 都能引起放電使電場強度迅速下降。因此,試驗采用的集塵極電壓控制在 8 kV 左右,相當于電場強度1 kV/ mm 左右。實際影響的因素很多,如氣體和懸浮微粒在極板間通道截面上的分布、通道中氣流的運動特性、微粒的凝聚、收集到極板上的微粒再次被氣流帶走等,實際的比理論值要小得多。
當集塵極板寬度一定時,長度越長有效面積F 越大,則效率就越高,但實際上在集塵板的整個長度上并不都能有效集塵。所謂的集塵長度是指一定電場強度下,集塵板上一定的長度有集塵作用,超過這一長度,再長的極板也不能象理論值那樣能收集更多的微粒。主要原因是電暈區外的部分空氣沒被電離或空氣含塵濃度太高使一部分微粒荷電極小或不能荷電。集塵極板寬度一定時,集塵極板影響靜電空氣凈化裝置集塵效率的因素是極板有效集塵長度,而非極板實際長度。
2 潔凈室穩定狀態時室內含塵濃度
如潔凈室有穩定的通風換氣條件,經過一段時間后,室內穩定的含塵濃度可表示為[2 ] :
![]() |
式中, G為室內單位容積發塵量, pc/ (m3·min) ; M 為大氣含塵濃度,pc/L; n 為換氣次數,次/ h ; s 為回風量對于總風量之比;ηn 為新風通路上過濾器的總效率;ηr 為回風通路上過濾器的總效率。
2. 1 理論比較
(1) 由式(3) 可得,若采用初效、中效、高效3 級過濾系統,潔凈室內污染物穩態濃度為:
![]() |
式中,η1 為初效過濾器的過濾效率;η2 為中效過濾器的過濾效率;η3 為高效過濾器的過濾效率。
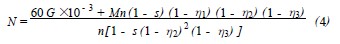
(2) 若在潔凈室新風通路的中效過濾器的后面安裝管道式靜電除塵器來替代高效過濾器,靜電除塵器距潔凈室送風口有一定的距離,主要是防止靜電除塵器發生的少量臭氧進入室內,影響人們的健康。此時,潔凈室內污染物質的濃度為:
![]() |
式中,ηj 為管道式靜電除塵器的過濾效率。由式(4) 和式(5) 可以發現,由于無法確定高效過濾器和靜電除塵器過濾效率的高低,因而無法從公式判斷究竟哪種系統比較好,只有通過試驗來判斷。
2. 2 試驗比較
試驗通過先行已做標定的2 臺Y09 - 9 型粒子計數器, 分別在室內標高為0. 8 m 和1. 2 m 處測得不同高度下的含塵濃度,結果如圖(2) 和圖(3) 。
![]() |
由試驗結果可知,用管道式靜電除塵器代替高效過濾器后,室內含塵數量濃度隨換氣次數的變化而變化的程度明顯。當換氣次數較小時,即通過靜電除塵器的風速較小時, 其凈化效果明顯,比傳統的3 級過濾系統效果好,但是當換氣次數超過某個值后,由試驗可知在70 次/ h 左右,使用管道式靜電除塵器的凈化效果不如3 級過濾系統好,說明使用管道式靜電除塵器的過濾系統在一定換氣范圍內可以滿足 ISO 6 級潔凈室的潔凈度要求。
3 潔凈室自凈時間
潔凈室自凈時間和換氣次數的關系可用式(6) [2 ]表示:
![]() |
式中, tz 為自凈時間,min; N0 為潔凈室原始含塵濃度, 可取值N0 = M ,即與大氣含塵濃度相等。
由圖4 可以看出,式(6) 的自凈時間計算方法對改進后的過濾系統來說不適合,但是圖5 的比較可知改進后的過濾系統使潔凈室自凈時間減短,這主要是由于其阻力小的原因。
|
4 過濾器阻力
本試驗用的高效過濾器屬于無隔板過濾器,濾料為超細聚丙烯,型號為F45 - 64 ,45 代表濾袋直徑,64 代表濾袋個數。這類過濾器相對于其他高效過濾器而言,主要特點是阻力較小。而本試驗采用的靜電除塵器的面積為520 mm ×300 mm ,陽極電暈線直徑為0. 25 mm , 陰極呈蜂窩狀正六邊形, 六邊形對邊相距30 mm , 其凈流通面積比較大。表1 的試驗數據表明, 靜電除塵器的阻力比F45 - 64 高效過濾器小得多。
![]() |
作為末級過濾器的靜電除塵器距離送風口較遠,其產生的臭氧在到達送風口時已經衰減部分,根據試驗測得其臭氧濃度符合國家標準[3 ] 。
5 結論
(1) 應用管道式靜電除塵器的過濾系統在一定換氣次數范圍內能滿足ISO 6 級潔凈室潔凈度要求,凈化效果明顯,但當換氣次數過大時,過濾效果反而下降,這主要是由于靜電除塵器的面風速過大,影響了過濾效率。
(2) 應用管道式靜電除塵器的過濾系統能使潔凈室自凈時間縮短,這主要是過濾器阻力小的原因。
(3) 管道式靜電除塵器的阻力比高效過濾器阻力小得多,在換氣次數50~80 次/ h 時,應用管道式靜電除塵器代替高效過濾器是一個可行的方案,它既能減少投初期資和運行費用,又能滿足潔凈度要求。
(4) 作為末級過濾器的靜電除塵器,安裝時要注意安裝距離應距送風口較遠,這樣才能使其產生的臭氧濃度在到達送風口時已經處于衰減狀態。
參考文獻
[1 ]GB 50073 - 2001. 潔凈廠房設計規范[ S] .
[2 ]許鐘麟. 空氣潔凈技術原理[M] . 上海:同濟大學出版社,1998 :343 - 356.
[3 ]GB/ T18883 - 2002. 室內空氣質量標準[ S] . 作者簡介 陳帥,男,1977 年生,江蘇靖江人,碩士,講師,畢業于東華大學暖通專業,現主要從事建筑環境與設備工程的設計與研究工作。

使用微信“掃一掃”功能添加“谷騰環保網”