重鉻酸鉀法經典法
更新時間:2009-03-26 09:23
來源:
作者:
閱讀:5232
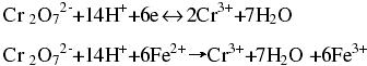
原理:在強酸性溶液中以重鉻酸鉀為氧化劑,過量重鉻酸鉀以試亞鐵靈為指示劑,用硫酸亞鐵銨溶液回滴。根據硫酸亞鐵銨溶液的用量折算成COD濃度,反應式如下:
![]() |
消解時間為2個小時。
使用范圍:適用于焦化,造紙,石化,化工,印染,皮毛,冶金,制藥,化肥等多種業廢水COD測定。0.25mol/L重鉻酸鉀溶液測定大于50mg/LCOD值,0.025mol/L重酸鉀測定5-50mol/L的COD值。
其優點為氧化完全,測定準確,重現性好。缺點為測定時間長,試劑用量大,汞會造成二次污染。
重鉻酸鉀法作為國家標準法在國內特別是實驗室內得到廣泛應用。
聲明:轉載此文是出于傳遞更多信息之目的。若有來源標注錯誤或侵犯了您的合法權益,請作者持權屬證明與本網聯系,我們將及時更正、刪除,謝謝。

使用微信“掃一掃”功能添加“谷騰環保網”