污泥的濃縮與脫水方法
摘要 : 本文介紹了污泥的分類及其指標,污泥的濃縮方法,污泥的脫水方法及設備。
關鍵詞 : 污泥分類,指標,濃縮方法,脫水方法,設備
一、污泥的分類及其指標
(一)、污泥的分類
污泥根據其來源可分為:
(1)初次沉淀污泥:污水一級處理過程中產生的污泥
(2)剩余活性污泥和腐殖污泥:污水二級處理過程中產生的污泥
(3)熟污泥(或稱消化污泥):初次沉淀、二次沉淀和剩余污泥經消化處理
(4)化學污泥:化學法處理污水所產生的污泥
(二)、測定指標
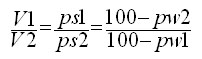
(1)污泥含水率與含固率
當含水率變化時,可近似地用下式計算污泥體積:
![]() |
式中V1,V2——分別是含水率pw1(含固率為ps1)、pw2(含固率為ps2)時的濕污泥的體積。
(2)揮發性固體和灰分
揮發性固體(或稱灼燒減重,用VSS表示)是指污泥中在600℃的燃燒爐中能被燃燒,并以氣體逸出的那部分固體。它通常表示污泥中有機物的量,單位mg/L。
灰分(或稱灼燒殘渣)表示污泥中無機物的含量。
(3)可消化程度
可消化程度表示污泥中可被消化降解的有機物數量。
(4)濕污泥相對密度
濕污泥相對密度等于濕污泥質量與同體積水的質量之比,其中濕污泥質量等于污泥所含水分質量與干固體質量之和。
(5)污泥中有毒有害物質
如:病菌、病毒、寄生蟲卵、重金屬等
二、污泥的濃縮方法
污泥的含水率很高,一般為96%~99.8%,體積很大,增加了對污泥處理、利用及輸送的難度,所以必須先進行濃縮。
污泥中所含水分可分為以下幾種:顆粒間空隙水(約70%)
顆粒間毛細管內的水(約20%)
污泥顆粒吸附水和顆粒內部水(約10%)
降低污泥含水率的方法:
濃縮法
自然干化法
機械脫水法
干燥與焚燒法
(一)、重力濃縮
重力濃縮是污泥濃縮處理中使用最廣泛和最簡便的一種濃縮方法。
優點:運行費用低
缺點:濃縮池體積大,濃縮時間長可能引起污泥腐化;上清液BOD濃度較高,若回流到污水處理系統中,將增加其BOD負荷
重力濃縮法的分類
重力濃縮法按照運行方式可分為連續式和間歇式兩種。前者常采用沉淀池的形式,一般為豎流式(或輻流式),多用于大、中型污水處理廠;后者可建成矩形或圓形,常用于小型污水處理廠。
(1) 連續式污泥濃縮
(2)間歇式污泥濃縮池(圖)
![]() |
(二)、氣浮濃縮
氣浮濃縮與重力濃縮相反,是依靠大量微小氣泡附著在污泥顆粒的周圍,減小顆粒的比重而強制上浮并得到濃縮。
優點:-氣浮法對于濃縮密度接近于水的、疏水的污泥效果尤為顯著
-氣浮池停留時間較短,容積較小
-由于通入壓縮空氣,可進一步滿足生化需氧量的要求,從而避免污泥腐化發臭和脫氮上浮
缺點:-運行費用較高
-運行管理較復雜
(1)氣浮濃縮的基本原理
氣浮濃縮是依靠水在罐內溶入過量的空氣后,突然減壓釋放出大量微小氣泡并迅速上升,捕捉污泥顆粒浮到上面。
氣浮的關鍵在于造成微氣泡并使其穩定地附著在污泥顆粒上
氣泡附著在污泥顆粒上的條件,取決于微氣泡與污泥顆粒之間的接觸角的大小,也取決于污泥的疏、親水性能。
(三)、其它濃縮法
污泥的濃縮方法,除重力濃縮法和氣浮濃縮法外,還有
離心濃縮法
微孔濃縮法
隔膜濃縮法
生物濃縮法
……
三、污泥的脫水方法
污泥經過濃縮處理后,含水率約為95%~97%,為滿足衛生標準、綜合利用或進一步處置的要求,可對污泥進行干化與脫水。
(一)、污泥脫水的基本理論
污泥脫水的作用是去除污泥中的毛細水和表面附著水。
經過脫水處理后,污泥含水率可從96%左右降到60%~80%,其體積為原來的1/10~1/5,有利于運輸和后續處理。
污泥脫水是依靠過濾介質(多孔性物質)兩面的壓力差作為推動力,使水分強制通過過濾介質,固體顆粒被截留在介質上,以達到脫水的目的。
過濾過程中,開始時濾液只需克服過濾介質的阻力,當濾餅逐漸形成后,濾液還需克服濾餅本身的阻力,因此真正的過濾層包括濾餅與過濾介質。
(二)、污泥的自然干化n n污泥干化的主要構筑物是干化場
(1)干化場分類
人工濾層干化場——需人工鋪設濾層,又分為敞開式干化場和有蓋式干化場兩種。
自然濾層干化場——適用于自然土質滲透性能好、地下水位低的地區
污泥干化場
![]() |
(2)干化場的脫水特點及其影響因素
污泥在干化場上是借助滲透、蒸發和人工潷除等過程而脫水的。滲透過程在污泥排入后2~3h完成,可使污泥含水率降至約85%。此后水分只能依靠蒸發脫水,經數周后,含水率可降低至75%左右。
污泥在干化場上脫水的影響因素有:
①氣候條件
②污泥性質
(三)、污泥的機械脫水及其設備
1、板式壓濾機
板式壓濾機可分為:板框壓濾機、箱式壓濾機和由兩者合成的壓濾機。
![]() |
2、帶式壓濾機
![]() |
3、離心脫水機
![]() |

使用微信“掃一掃”功能添加“谷騰環保網”