荷電水霧除塵器的機理研究
摘要:荷電水霧除塵技術是一種新型的除塵技術。本文介紹了荷電水霧除塵器的工作原理,著重分析了其對靜電除塵器及濕式除塵器缺點的克服,以及荷電水霧除塵器的性能特點與存在的不足之處。
1 引言
粉塵的粒徑越小,越不容易沉降,且會長期漂浮在空氣中,危害人體健康。一般情況下,粒徑>100μm的塵粒很快會在大氣中沉降;粒徑>10μm的塵粒會滯留在呼吸道中;粒徑為5~10μm的塵粒大部分會沉積在呼吸道中,被分泌的粘液吸附,可以隨痰排出;粒徑<5μm的微粒能深入肺部,引起各種塵肺病。
粒徑較大的粒塵可以采用沉降法去除,但粒徑較小的粒塵則不易被去除。由于以往用的機械除塵器、濕式除塵器、電除塵器存在種種的弊端,因此荷電水霧除塵器應運而生。
2 荷電水霧除塵器的工作原理
荷電水霧除塵器是在克服靜電除塵及噴水除塵弊端的基礎上發展起來的。和普通除塵器一樣,其工作原理涉及懸浮粒子荷電、帶電粒子在電場里遷移和捕集,以及將捕集物從集塵器表面上清除三個基本過程。其工作過程是:先用霧化器將水霧化,使其充滿除塵器本體(如圖1a所示),然后通過電暈放電使水霧荷電,塵氣進入荷電水霧區后,處于水霧粒子的包圍之中(如圖1b所示),塵粒只要接觸水霧粒子的球形電場即被吸附并沉降至輸送皮帶表面上使物料表面濕潤(如圖1c所示)。荷電水霧除塵器的結構如圖2所示。
![]() |
2.1 電暈放電
2.1.1 電暈放電機理
電暈電極為負極,從金屬絲表面或附近放出的電子迅速地向接地極或正極運動,與氣體粒子發生撞擊并使之離子化,而后又產生大量電子。水霧為電負性氣體,其俘獲自由電子而產生負離子。
2.1.2 起始電暈電壓
![]() |
其中:Vc—起始電暈電壓;r—距電暈線中心的距離;a—電暈線半徑;b—電暈線與集塵電極的距離;Ec—電場強度;m—導電光滑修正系數,無因次,一般0.5<m<1.0。對于清潔的光滑圓線,m=1;實際可取0.6~0.7;δ—空氣的相對密度,定義為 ,其中T0=298K,p0=1.0atm,T和p分別為操作溫度和壓力。
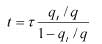
2.2 粒子荷電
離子在靜電力作用下做定向運動,與塵粒碰撞而使粒子荷電。粒子獲得的飽和電荷為:
![]() |
其中:q-粒子能夠獲得的飽和電荷;ε-離子相對介電常數;ε0-真空介電常數,等于8.85×10-12F/m; E0-電場強度,V/m。
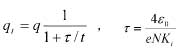
粉塵粒子進入荷電區的時間為:
![]() |
其中
![]() |
t-粉塵粒子進入荷電區的時間,s;τ—荷電過程時間常數,s;N—荷電區離子溶度;e—電子電量; Ki—離子遷移率,m2/v·s。
2.3 主要技術參數
(1)高壓供電系統參數
最大輸入電壓:220v±10%(50Hz);最大輸入電流:4A;最大輸出電壓(平均值):120kV;最大輸出電流:6mA;輸出電壓調整范圍:0~120kV;最大電流調整范圍:0~6mA。
(2)供水系統
供水壓力:0.4~1.2MPa;耗水量:0~2.4L/h。
(3)效能參數
處理量:5000m3;允許處理濃度:40g/m3;除塵效率:99.5%~99.8%。
(4)結構特性
荷電水霧除塵器長度:7.5m;荷電水霧除塵器寬度:同導料槽等寬;荷電水霧除塵器高度:1.8~2m(不包括導料槽高);電場間極距:250~300mm。
2.4 超高壓寬極距
荷電水霧除塵器全部的電荷、收塵場均采用超高壓寬極距設計(這種技術在國際范圍內已被廣泛使用)。隨著電極間距的加寬,施加電壓升高,粒子驅進速度迅速增長,電暈外區空間增大,加強了對微細粉塵的凝聚作用,增強了捕集能力,并使電場與電流分布更均勻、收塵面積得到更有效的利用,對克服電暈電極大量積塵也有一定的好處。在輸煤系統產生的粉塵粒直徑
<5μm并占粉塵總量80%以上的情況下,采用該技術尤為有利。
2.5 電暈電極及水霧清塵方式
電暈電極的結構、設置對除塵器保持穩定運行具有重要作用。該除塵器處理的現場情況較為復雜,常有大煤塊、雜鐵、草繩等雜物通過,對電暈電極構成極大威脅。因此宜采用活動懸吊式方案,電暈電極遭到碰撞時可自行前后、左右自由擺動,同時還可調整高度。采用不銹鋼材料做電暈極主干,可增加強度,電暈極不會產生刺尖結瘤。
3 荷電水霧除塵器對靜電除塵器及濕式除塵器弊端的克服
3.1 對煤塵爆炸隱患的克服
在封閉空間里,可燃性懸浮物在爆炸極限內的燃燒會導致化學爆炸。在粉塵被捕集的過程中,雖有少量粉塵未接觸水霧,但由于設備本體內充滿水霧粒子,濕度較大,因而可避免煤塵爆炸。粉塵被荷電水霧吸附,且粉塵粒子在進入除塵器的過程中,由于摩擦等因素,使微量異性電荷相吸,進一步克服了環流現象和水滴表面張力大難以濕潤粉塵的不利因素。
3.2 對高壓電暈閉塞的克服
電除塵器內同時存在兩種空間電荷,一種是氣體離子的電荷,一種是帶電塵粒的電荷。由于氣體離子的運動速度遠遠高于帶電塵粒的運動速度,所以通過除塵器的含塵氣流的電暈電流要比清潔氣體的小。如果氣體含塵濃度很高,會使電除塵器的電暈電流急劇下降(嚴重時可能會趨近于零,發生電暈閉塞)。而在水霧荷電除塵器中,由于荷電水霧會吸附粉塵粒子,因此不易發生電暈閉塞。
3.3 對反電暈的克服
當粉塵的比電阻低于1010Ω·cm時,比電阻對除塵器的操作和性能幾乎沒有不良影響;當比電阻介于1010~1011Ω·cm之間時,火花率增加,操作電壓降低;當比電阻高于1011Ω·cm時,集塵極粉塵層內出現電火花,即產生明顯的反電暈。反電暈的產生會導致電暈電流密度大大降低,進而嚴重干擾粒子的荷電和捕集。荷電水霧除塵器采用荷電水霧吸附粉塵粒子,可使其比電阻大大降低,從而有效地遏制反電暈的發生。
3.4 對高壓電絕緣易遭破壞的克服
荷電水霧除塵器的高壓電源為小型化全封閉式,高壓輸出電纜插接引出,無高壓接點暴露,可在高潮濕度、高塵埃的惡劣環境中連續運行,從而解決了高壓電絕緣易遭破壞的問題。
4 荷電水霧除塵器的主要性能及特點
(1)導料槽采用最新Ω型體與荷電箱體配套合成,從而增大了粉塵飛揚空間,降低了粉塵的密度和流動速度,使塵粒易被電荷捕集。
(2)自動化程度高,無需專人操作。除塵器可隨皮帶機的運轉,負載煤流的有無自動啟動、停止、電流自動跟蹤調節,使除塵器工作保持最佳狀態。
(3)直接收塵。新收集到的粉塵直接回落到物料上,解決了一般除塵器粉塵凈化后仍需二次處理的難題,提高了經濟效益,減少了工人的勞動強度。
(4)采用了荷電水霧除塵,具有超高壓、寬極距、準脈沖等綜合性能技術措施,兼備水、電除塵的優越性。
(5)采用了火花放電、弧光放電及過流等保護措施,除塵器可安全可靠地工作。
(6)除塵器可針對不同煤質或季節采用不同的工作狀態,既可以使荷電水霧全部投入,也可以做單獨靜電除塵使用,同時還設置了獨特的水霧清塵方式。煤層打濕在30~40mm之間,通過幾個轉折點之后煤變潮濕,到煤倉間時不再會有起塵的可能
(7)除塵效率高。
5 存在的問題
(1)設備造價高;
(2)對制造、安裝、運行技術要求高;
(3)由于使用了水霧,所以需注意設備及管道的防腐問題;
(4)不適合處理憎水性和水硬性氣體;
(5)冬天設備可能會凍冰。
6 結論
荷電水霧除塵技術是一種新型的除塵技術,它既是電除塵技術和濕式除塵技術的結合又是其發展。荷電水霧除塵器克服了電除塵器及濕式除塵器的缺點,即消除了靜電除塵器煤塵爆炸隱患、處理了高濃度粉塵可能出現的高壓電暈閉塞,以及反電暈及高壓電絕緣易遭破壞等問題;主要解決了濕式除塵器由于隨機性及環流、水滴表面張力較大等因素造成的除塵效率低的問題;同時又兼具了水、電除塵技術的優越性,使除塵器更靈巧、更自動化、更安全、更經濟、效率更高。但荷電水霧除塵器尚存在構造復雜、部件易腐蝕等缺點。
參考文獻:
[1] 關伯任等.環境科學基礎教程[M].北京:中國環境科學出版社,1995:152-154.
[2] 袁穎,王京剛.荷電水霧除塵過程中顆粒運動軌跡的數值模擬[J]. 北京化工 大學學報,2005,1:28-32.
[3] 亢燕銘,王明星.荷電霧滴表面帶電塵粒捕集的數值分析[J].中國環境科學 2001,21(1): 61-64.
[4] 郝吉明,馬廣大.大氣污染控制工程[M].2版.北京:高等教育出版社,
2002:178-186.
[5] 王麗萍.大氣污染控制工程[M].北京:煤炭工業出版社,2002:75-80.
[6] 吳忠標.實用環境工程手冊、大氣污染控制工程[M].北京:化學工業出 版社,2001:244-248;266-267.
[7] 李加林.新型荷電水霧除塵器在電廠輸煤系統中的應用[J].冶金動力,2004,
6:18-19.
[8] 鄭雙忠,劉艷軍,王英敏,陳寶智.寬間距電除塵器電場理論研究[J].沈陽 航空工業學院學報,2000,9:74-76.
[9] 向曉東.現代除塵理論與技術[M].北京:冶金工業出版社,2002:150-154.

使用微信“掃一掃”功能添加“谷騰環保網”